ЦЕНТРОБЕЖНЫЕ ГОРИЗОНТАЛЬНЫЕ
ОДНОСТУПЕНЧАТЫЕ НАСОСЫ
Фотографии
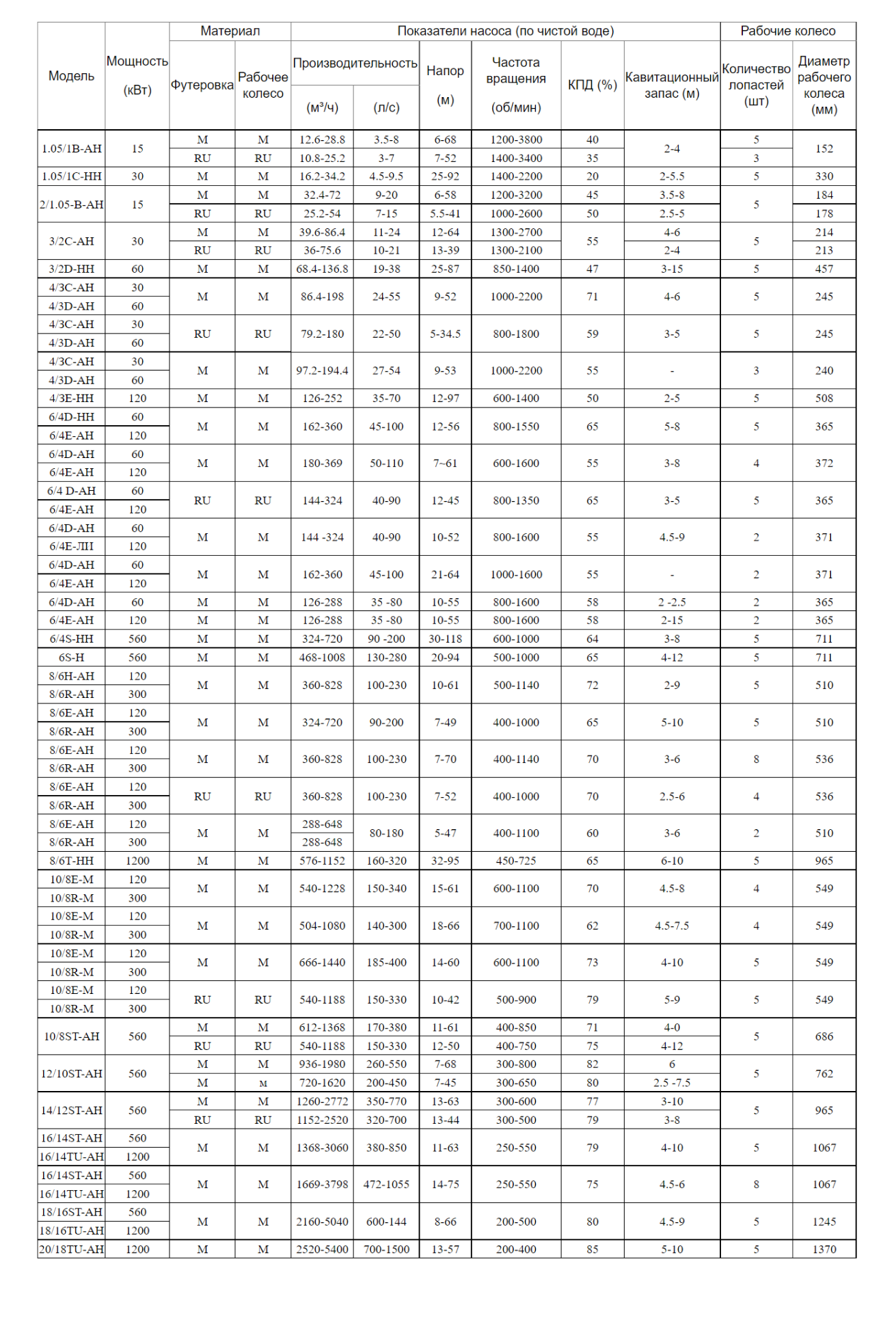
Технические характеристики
Центробежные горизонтальные однотупенчатые насосы
Центробежные шламовые насос АН(В)/НН/ИМ(®) — это эффективное горизонтальное центробежное оборудование, созданное для тяжелых условий эксплуатации, и предназначенное для непрерывного перекачивания абразивных
шламов высокой плотности с минимальными требованиями к техническому обслуживанию. Насосы подходят для горнодобывающей, химической и промышленной промышленности, при этом они хорошо выдерживают износ, вызываемый абразивным, эрознонным и часто коррозпонным воздействием на материалы.



Горизонтальные насосы серии АН(В/НН/М(В) сохраняют высокий КПД в течение всего срока службы. Компоненты внутри шламового насоса, которые чаше всего вступают в контакт с абразивной суспензией, наиболее подвержены износу. Минимизация износа достигается за счет продуманной конструкции и правильного выбора материалов сборки. Для удобства обслуживания корпус сделан раздельным, его легко собрать и разобрать. Вкладыши доступны из различных материалов для большей химической стойкости. Внутри рабочего колеса корпуса предусмотрены больше зазоры, позволяющие пропускать твердые частицы большого диаметра, а также снижать внутренние скорости и соответствующий износ.

Чтобы дать наилучшую производительность насос для абразивных жидкостей серии АН(В)/НН/М(В) может быть
сконфигурпрован в соответствии с конкретными задачами. Среди специальных задач: технологические установки,
трубопроводы высокого давления, выгрузка шаровой мельницы, дноуглубительные работы и тд.
"4/3 С - АН (R)" :
4 - диаметр всасывающего отверстия (дюймы);
3 - диаметр нагнетательного отверстия (дюймы);
С - тип рамы;
АН - тип насоса;
R - с резиновым покрытием.
Расшифровка маркировки
Made on
Tilda